Официальное опубликование правовых актов
ОФИЦИАЛЬНОЕ ОПУБЛИКОВАНИЕ
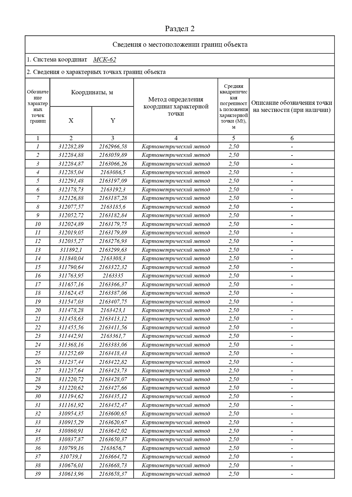
Постановление Главного управления архитектуры и градостроительства Рязанской области от 04.06.2024 № 256-п
"Об утверждении изменений в генеральный план муниципального образования – Борисовское сельское поселение Александро-Невского муниципального района Рязанской области"
(Зарегистрирован 05.06.2024 № 508)
Номер опубликования: 6201202406100001
Дата опубликования: 10.06.2024
Страница №8 из 11:
Увеличить