Официальное опубликование правовых актов
ОФИЦИАЛЬНОЕ ОПУБЛИКОВАНИЕ
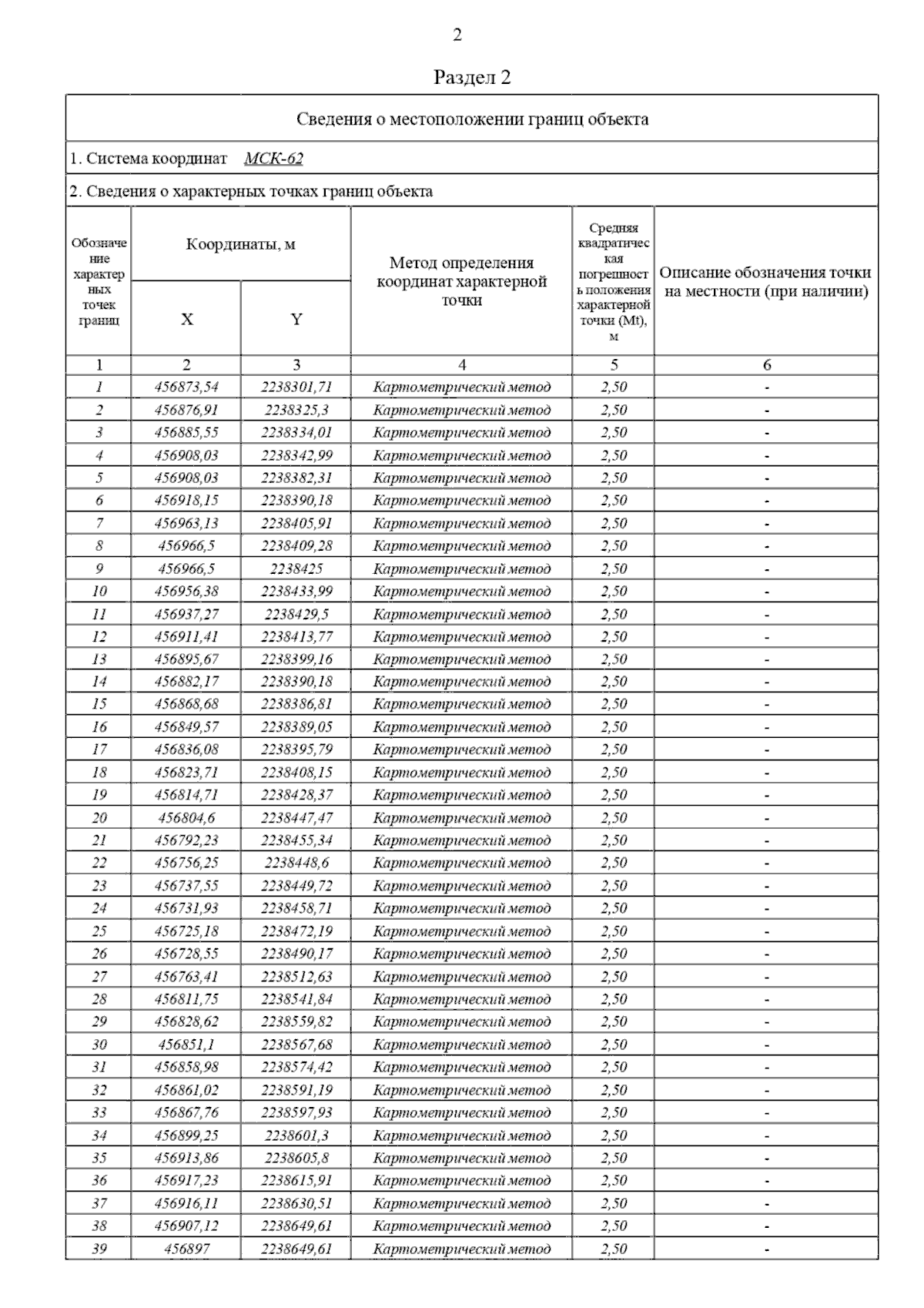
Постановление Главного управления архитектуры и градостроительства Рязанской области от 22.05.2024 № 247-п
"Об утверждении изменений в правила землепользования и застройки муниципального образования – Шостьинское сельское поселение Касимовского муниципального района Рязанской области"
(Зарегистрирован 23.05.2024 № 476)
Номер опубликования: 6201202405280003
Дата опубликования: 28.05.2024
Страница №5 из 17:
Увеличить