Официальное опубликование правовых актов
ОФИЦИАЛЬНОЕ ОПУБЛИКОВАНИЕ
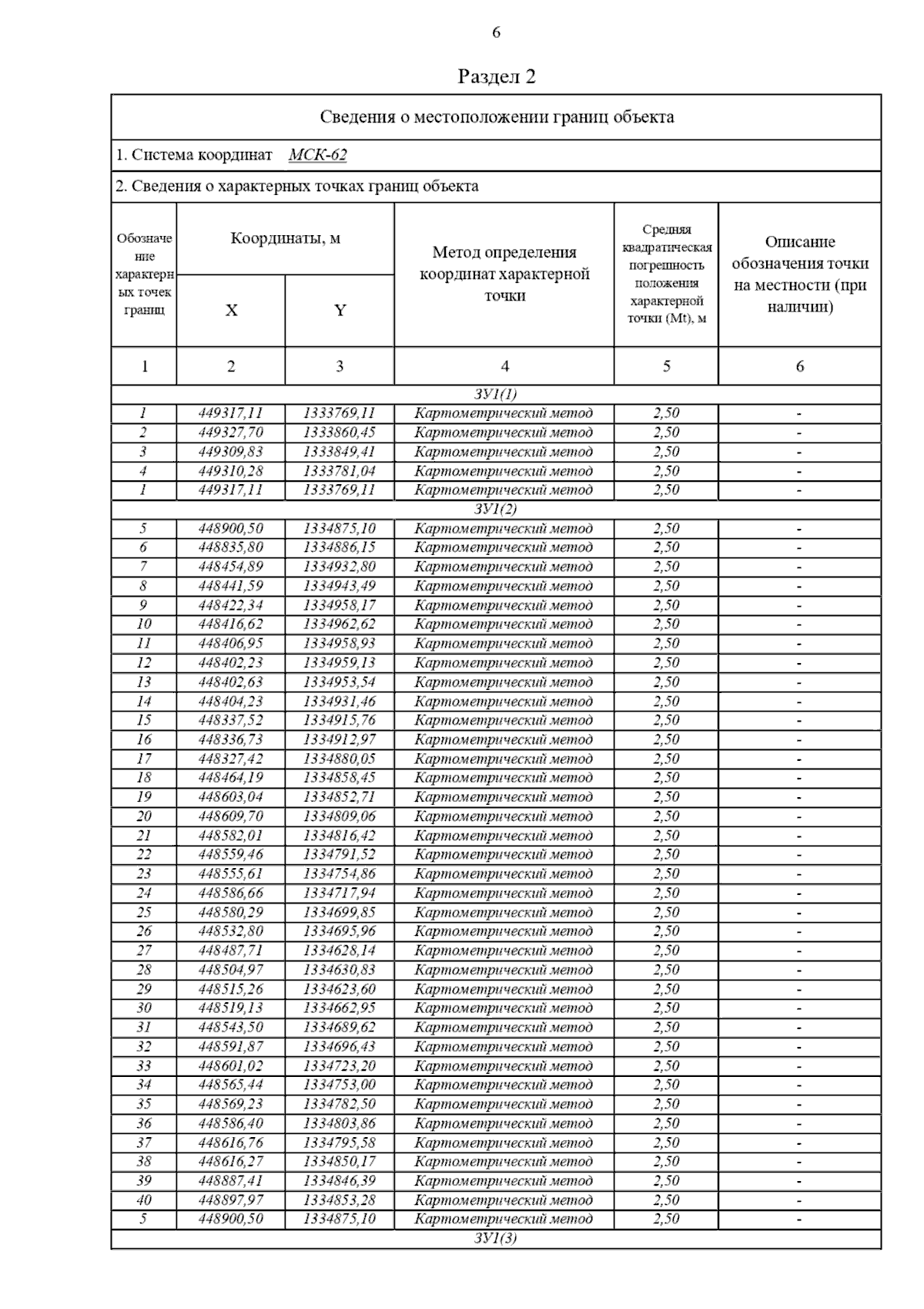
Постановление Главного управления архитектуры и градостроительства Рязанской области от 23.05.2024 № 249-п
"Об утверждении изменений в правила землепользования и застройки муниципального образования – Полянское сельское поселение Рязанского муниципального района Рязанской области"
(Зарегистрирован 23.05.2024 № 478)
Номер опубликования: 6201202405280002
Дата опубликования: 28.05.2024
Страница №13 из 46:
Увеличить