Официальное опубликование правовых актов
ОФИЦИАЛЬНОЕ ОПУБЛИКОВАНИЕ
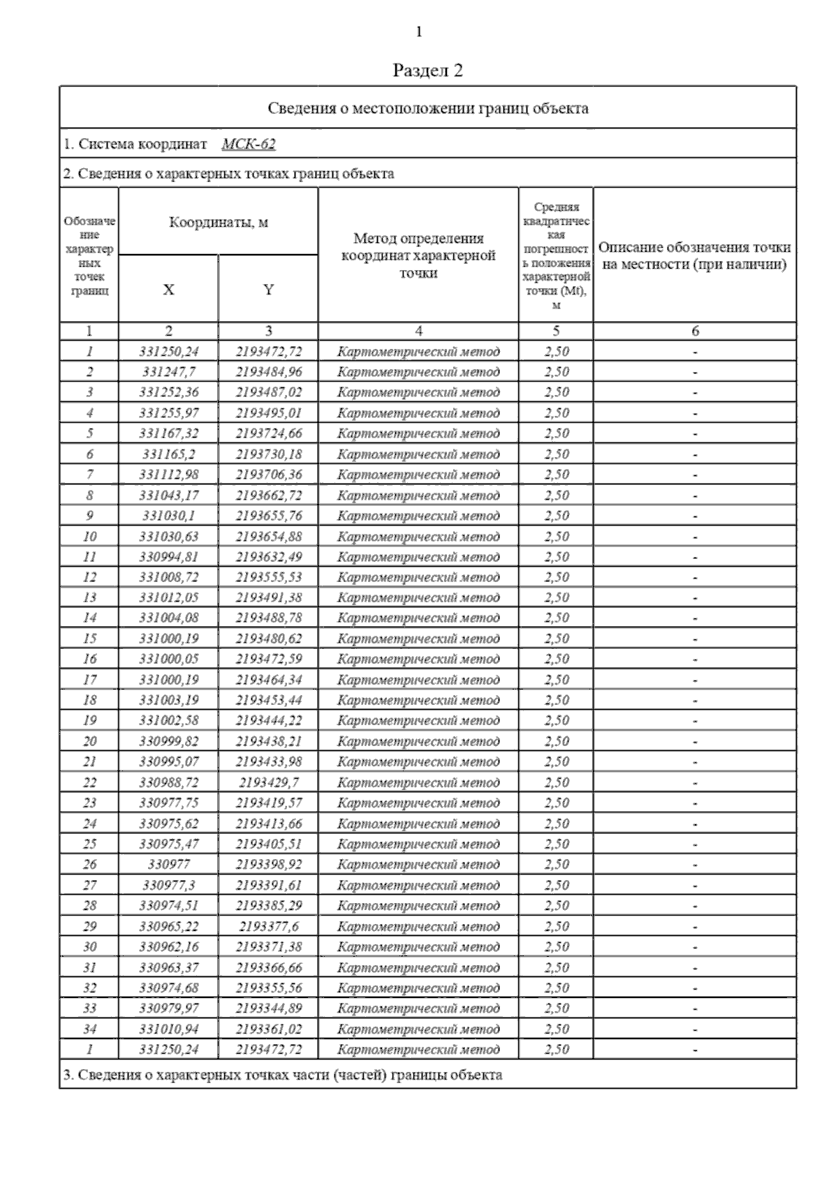
Постановление Главного управления архитектуры и градостроительства Рязанской области от 22.05.2024 № 244-п
"Об утверждении изменений в правила землепользования и застройки муниципального образования – Коноплинское сельское поселение Ухоловского муниципального района Рязанской области"
(Зарегистрирован 22.05.2024 № 472)
Номер опубликования: 6201202405240001
Дата опубликования: 24.05.2024
Страница №5 из 10:
Увеличить