Официальное опубликование правовых актов
ОФИЦИАЛЬНОЕ ОПУБЛИКОВАНИЕ
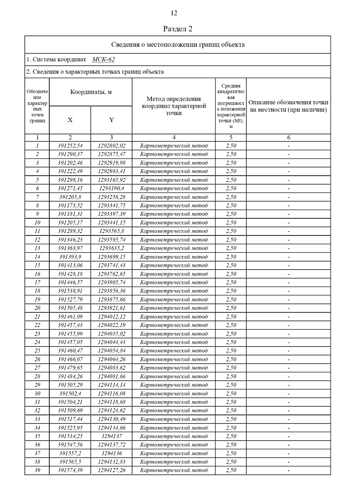
Постановление Главного управления архитектуры и градостроительства Рязанской области от 13.05.2024 № 218-п
"Об утверждении изменений в правила землепользования и застройки муниципального образования – Красновское сельское поселение Михайловского муниципального района Рязанской области"
(Зарегистрирован 13.05.2024 № 428)
Номер опубликования: 6201202405160002
Дата опубликования: 16.05.2024
Страница №40 из 101:
Увеличить