Официальное опубликование правовых актов
ОФИЦИАЛЬНОЕ ОПУБЛИКОВАНИЕ
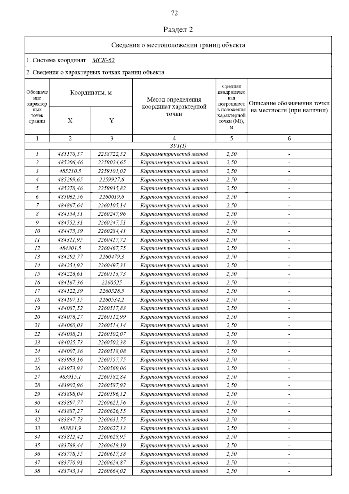
Постановление Главного управления архитектуры и градостроительства Рязанской области от 22.09.2023 № 455-п
"Об утверждении правил землепользования и застройки муниципального образования – Которовское сельское поселение Касимовского муниципального района Рязанской области"
(Зарегистрирован 25.09.2023 № 795)
Номер опубликования: 6201202309270013
Дата опубликования: 27.09.2023
Страница №102 из 202:
Увеличить