Официальное опубликование правовых актов
ОФИЦИАЛЬНОЕ ОПУБЛИКОВАНИЕ
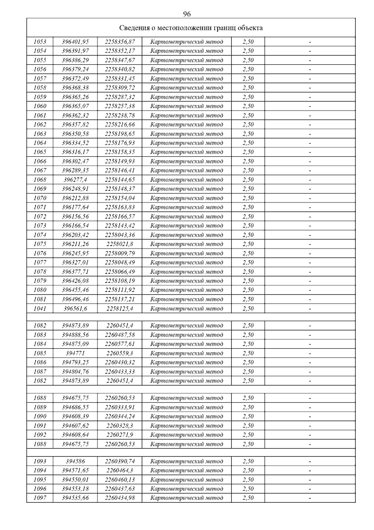
Постановление Главного управления архитектуры и градостроительства Рязанской области от 06.09.2023 № 403-п
"Об утверждении правил землепользования и застройки муниципального образования – Агишевское сельское поселение Шацкого муниципального района Рязанской области"
(Зарегистрирован 07.09.2023 № 734)
Номер опубликования: 6201202309110001
Дата опубликования: 11.09.2023
Страница №129 из 207:
Увеличить