Официальное опубликование правовых актов
ОФИЦИАЛЬНОЕ ОПУБЛИКОВАНИЕ
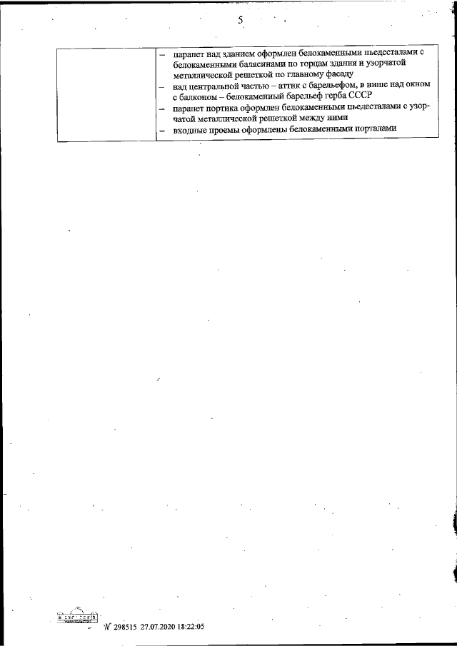
Постановление Правительства Рязанской области от 28.07.2020 № 190
"О включении города Рязани Рязанской области в перечень исторических поселений регионального значения, утверждении границы его территории и предмета охраны"
Номер опубликования: 6200202007310014
Дата опубликования: 31.07.2020
Страница №54 из 398:
Увеличить