Официальное опубликование правовых актов
ОФИЦИАЛЬНОЕ ОПУБЛИКОВАНИЕ
Постановление Правительства Рязанской области от 07.10.2015 № 249
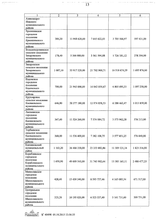
"О внесении изменения в постановление Правительства Рязанской области от 06 мая 2013 г. № 115 "Об утверждении адресной программы Рязанской области по переселению граждан из аварийного жилищного фонда на 2013-2017 годы" (в редакции постановлений Правительства Рязанской области от 11.12.2013 № 417, от 28.04.2014 № 112, от 15.07.2014 № 194, от 11.02.2015 № 15)"
Номер опубликования: 6200201510130009
Дата опубликования: 13.10.2015
Страница №14 из 258:
Увеличить