Официальное опубликование правовых актов
ОФИЦИАЛЬНОЕ ОПУБЛИКОВАНИЕ
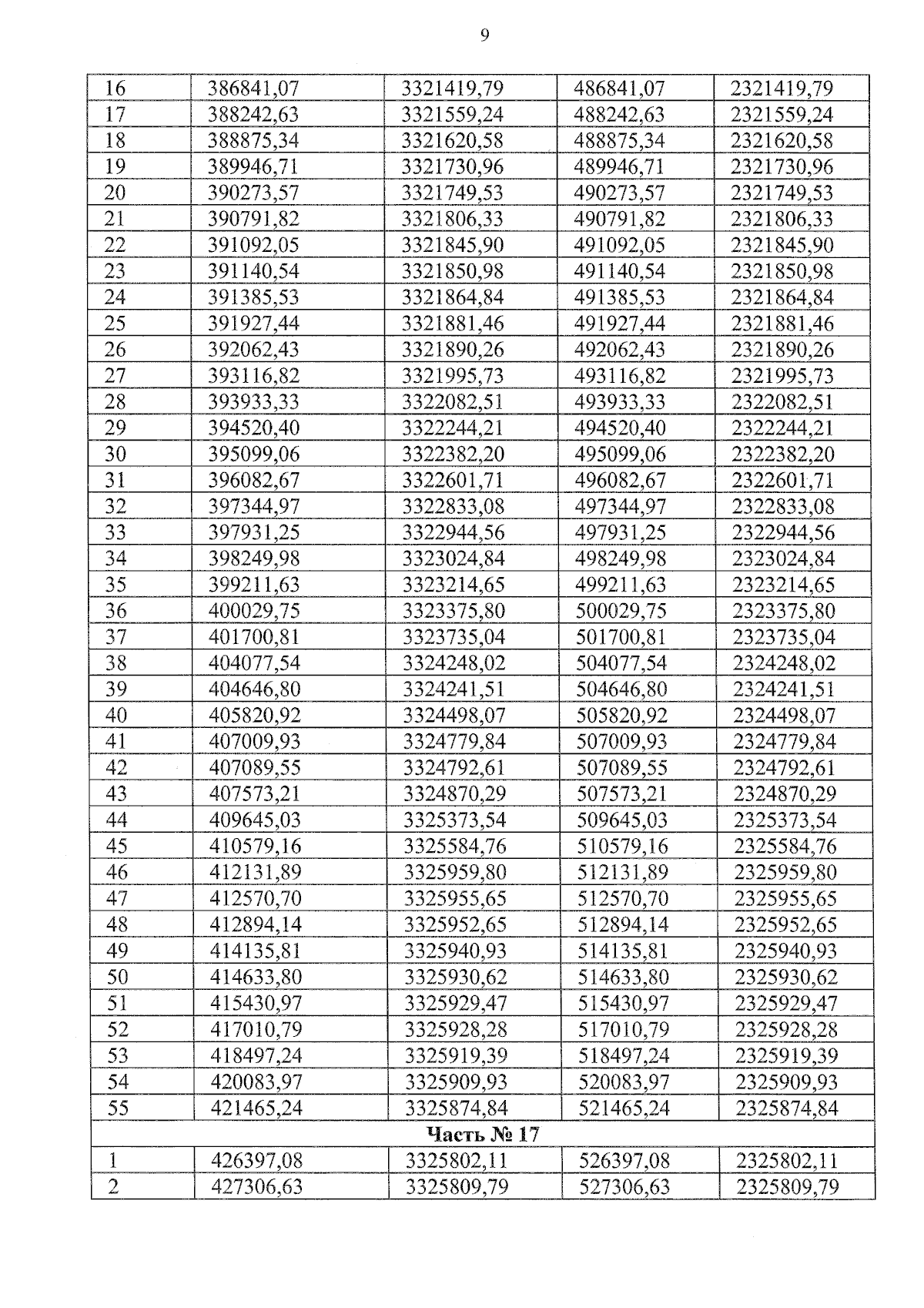
Областной закон Ростовской области от 23.03.2026 № 436-ЗС
"Об утверждении заключения Соглашения об установлении описания части границы между субъектами Российской Федерации Ростовской областью и Республикой Калмыкия"
Номер опубликования: 6100202603230005
Дата опубликования: 23.03.2026
Страница №10 из 37:
Увеличить