Официальное опубликование правовых актов
ОФИЦИАЛЬНОЕ ОПУБЛИКОВАНИЕ
Распоряжение Правительства Ростовской области от 04.02.2026 № 48
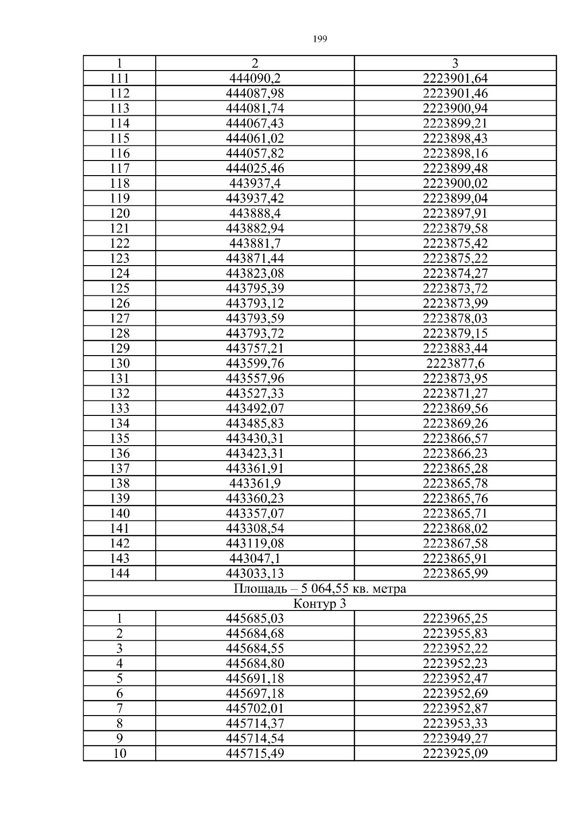
"Об утверждении изменений в проект планировки и проект межевания территории размещения объекта инфраструктуры федерального значения "Строительство системы водоснабжения аэропортового комплекса "Южный" и прилегающих населенных пунктов (1 этап)" в границах городского округа "Город "Новочеркасск", Мишкинского, Рассветовского и Грушевского сельских поселений Аксайского района Ростовской области"
Номер опубликования: 6100202602050009
Дата опубликования: 05.02.2026
Страница №199 из 215:
Увеличить