Официальное опубликование правовых актов
ОФИЦИАЛЬНОЕ ОПУБЛИКОВАНИЕ
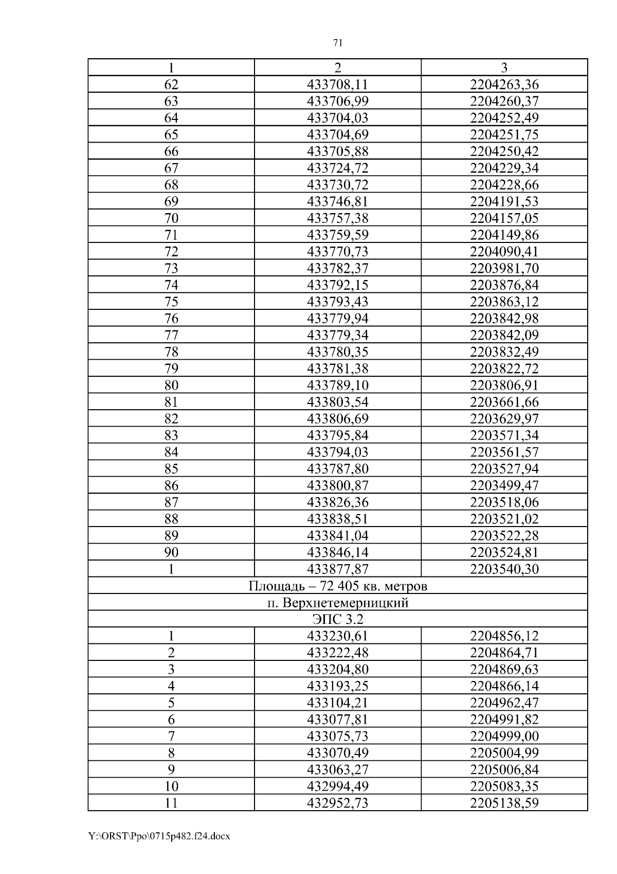
Постановление Правительства Ростовской области от 15.07.2024 № 482
"Об утверждении проекта планировки территории и проекта межевания территории размещения линейного объекта"
Номер опубликования: 6100202407160009
Дата опубликования: 16.07.2024
Страница №71 из 158:
Увеличить