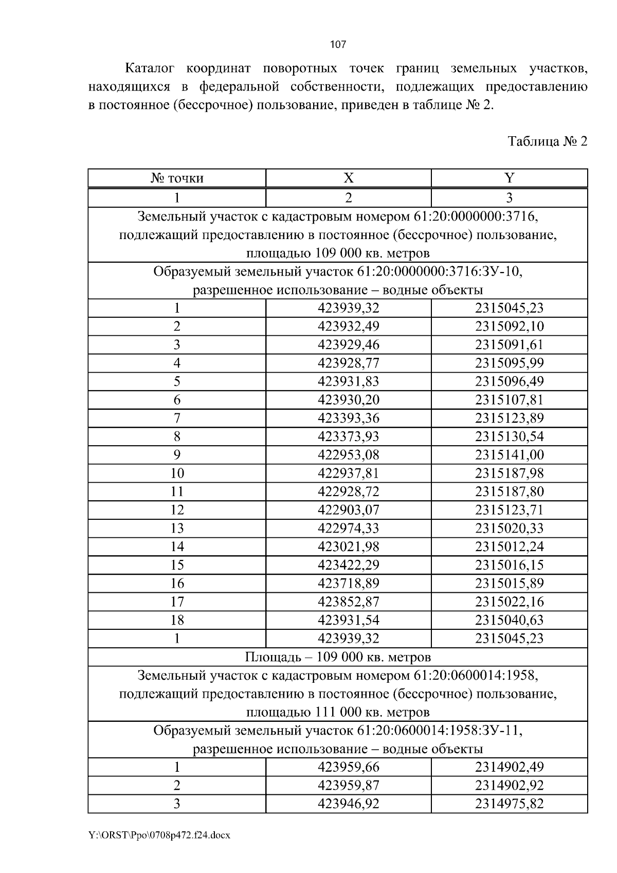
Постановление Правительства Ростовской области от 08.07.2024 № 472
"Об утверждении проекта планировки и проекта межевания территории размещения линейного объекта "Реконструкция Донского магистрального канала (2-ая очередь, III этап реконструкции), Мартыновский район, Волгодонской район, Ростовская область"
"Об утверждении проекта планировки и проекта межевания территории размещения линейного объекта "Реконструкция Донского магистрального канала (2-ая очередь, III этап реконструкции), Мартыновский район, Волгодонской район, Ростовская область"
Номер опубликования: 6100202407100017
Дата опубликования:
10.07.2024
