Официальное опубликование правовых актов
ОФИЦИАЛЬНОЕ ОПУБЛИКОВАНИЕ
Постановление Правительства Ростовской области от 01.04.2024 № 209
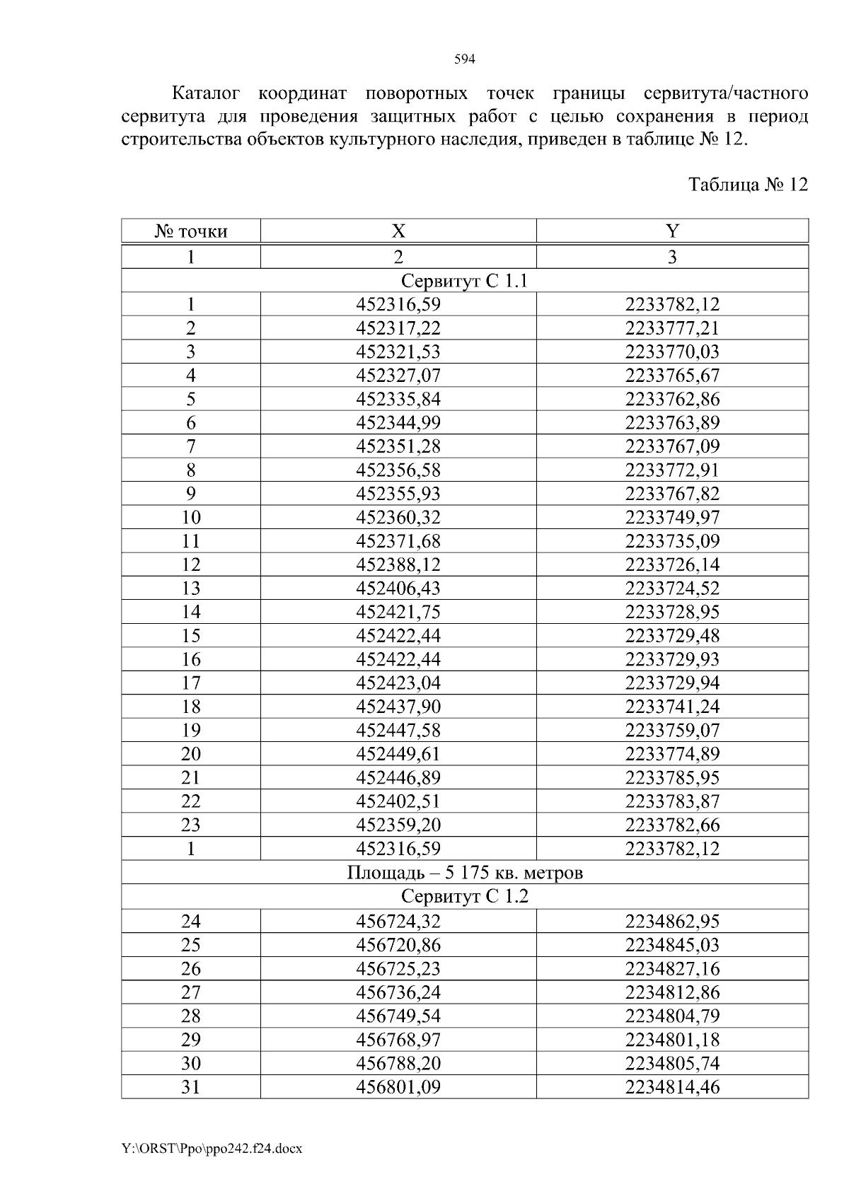
"Об утверждении проекта планировки и проекта межевания территории размещения объекта "Реконструкция автомобильной дороги общего пользования межмуниципального значения г. Новочеркасск – пос. Каменоломни в Октябрьском районе"
Номер опубликования: 6100202404020019
Дата опубликования: 02.04.2024
Страница №593 из 597:
Увеличить