Официальное опубликование правовых актов
ОФИЦИАЛЬНОЕ ОПУБЛИКОВАНИЕ
Постановление Правительства Ростовской области от 03.10.2019 № 715
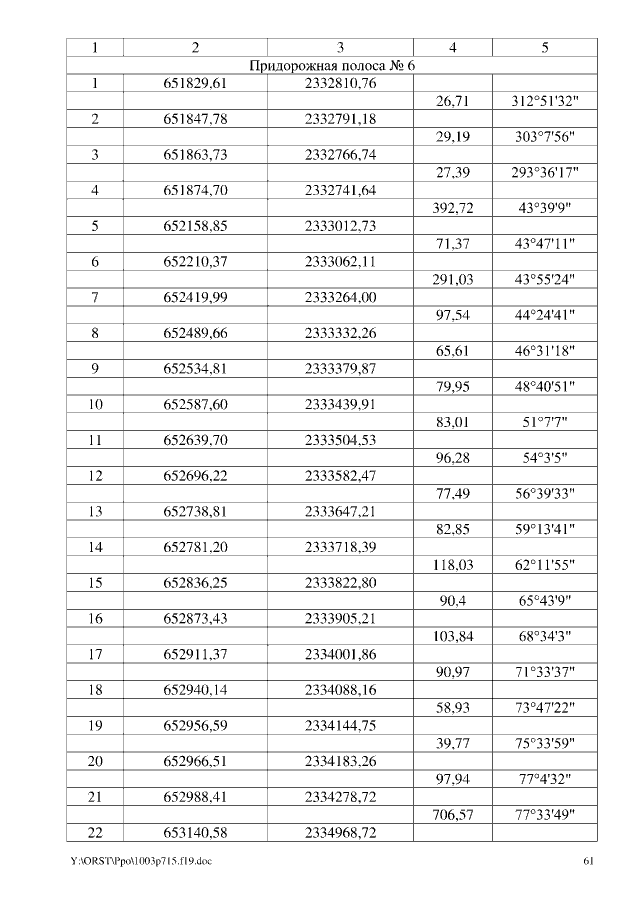
"Об утверждении проекта планировки и проекта межевания территории размещения линейного объекта "Реконструкция автомобильной дороги общего пользования регионального значения г. Миллерово – ст. Вешенская на участке км 91 + 100 – км 100 + 500 в Боковском районе"
Номер опубликования: 6100201910080009
Дата опубликования: 08.10.2019
Страница №61 из 148:
Увеличить