Официальное опубликование правовых актов
ОФИЦИАЛЬНОЕ ОПУБЛИКОВАНИЕ
Постановление Правительства Ростовской области от 26.09.2018 № 608
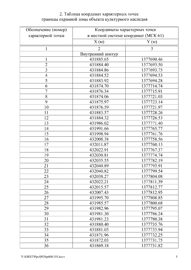
"Об установлении зон охраны объекта культурного наследия регионального значения "Мемориальный памятник 1943 г. героям прорыва Миус. фронта и освобождения г. Таганрога" и утверждении требований к градостроительным регламентам в границах территорий данных зон"
Номер опубликования: 6100201809270003
Дата опубликования: 27.09.2018
Страница №5 из 12:
Увеличить