Официальное опубликование правовых актов
ОФИЦИАЛЬНОЕ ОПУБЛИКОВАНИЕ
Постановление Правительства Ростовской области от 27.10.2017 № 732
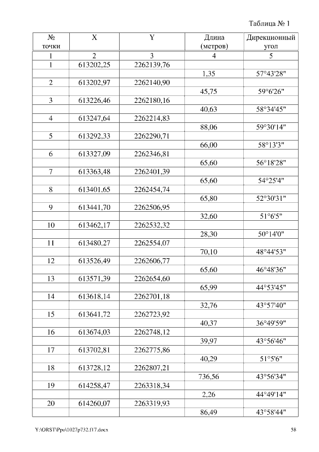
"Об утверждении проекта планировки и проекта межевания территории размещения линейного объекта "Реконструкция автомобильной дороги общего пользования регионального значения г. Миллерово – ст. Вешенская на участке км 5 + 350 – км 18 + 800 в Миллеровском районе"
Номер опубликования: 6100201710300003
Дата опубликования: 30.10.2017
Страница №58 из 195:
Увеличить