Официальное опубликование правовых актов
ОФИЦИАЛЬНОЕ ОПУБЛИКОВАНИЕ
Постановление Правительства Ростовской области от 29.12.2016 № 899
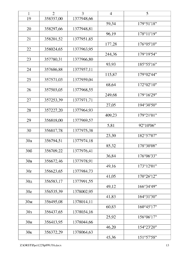
"Об утверждении части проекта планировки и проекта межевания территории размещения автомобильной дороги общего пользования регионального значения г. Азов – с. Александровка – ст. Староминская (до границы Краснодарского края) на участке км 71 + 000 – км 75 + 100 в Азовском районе"
Номер опубликования: 6100201701060035
Дата опубликования: 06.01.2017
Страница №13 из 72:
Увеличить