Официальное опубликование правовых актов
ОФИЦИАЛЬНОЕ ОПУБЛИКОВАНИЕ
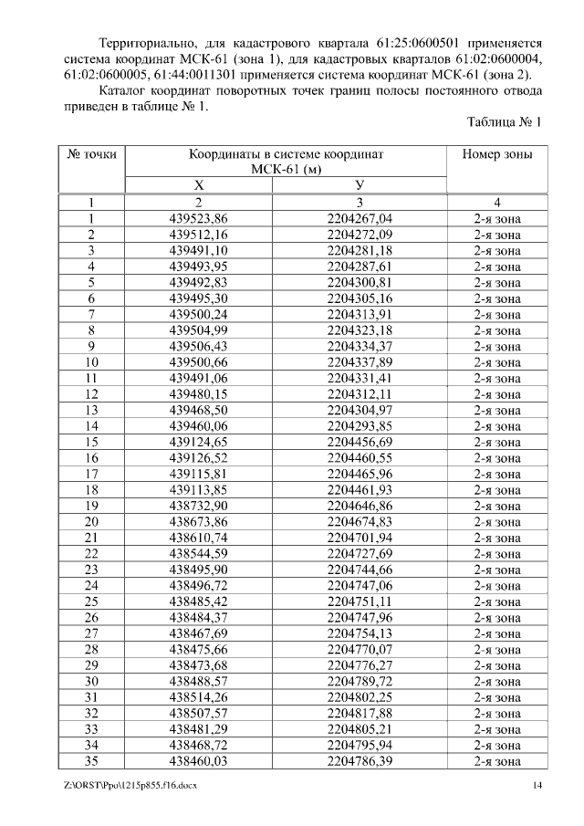
Постановление Правительства Ростовской области от 15.12.2016 № 855
"Об утверждении проекта межевания территории размещения соединительной автомобильной дороги общего пользования регионального значения от а/д "Северный обход г. Ростова-на-Дону" до а/д "г. Ростов-на-Дону – сл. Родионово-Несветайская – г. Новошахтинск" в Аксайском и Мясниковском районах"
Номер опубликования: 6100201612230001
Дата опубликования: 23.12.2016
Страница №14 из 35:
Увеличить