Официальное опубликование правовых актов
ОФИЦИАЛЬНОЕ ОПУБЛИКОВАНИЕ
Постановление Правительства Ростовской области от 12.12.2016 № 835
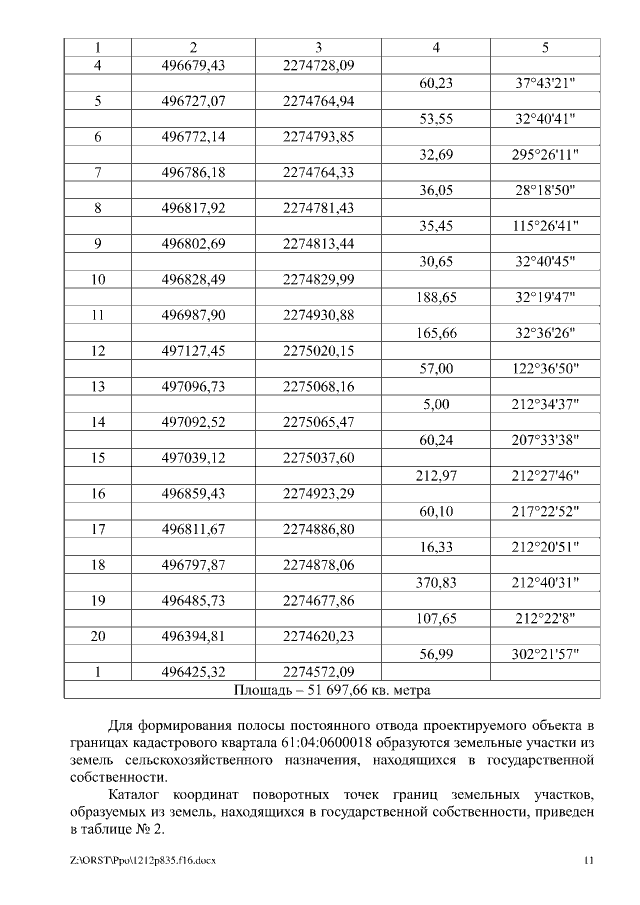
"Об утверждении основной части проекта планировки и проекта межевания территории размещения линейного объекта автомобильной дороги общего пользования регионального значения г. Шахты – г. Белая Калитва на участке км 30 + 350 – км 31 + 000 в Белокалитвинском районе"
Номер опубликования: 6100201612140058
Дата опубликования: 14.12.2016
Страница №11 из 17:
Увеличить