Официальное опубликование правовых актов
ОФИЦИАЛЬНОЕ ОПУБЛИКОВАНИЕ
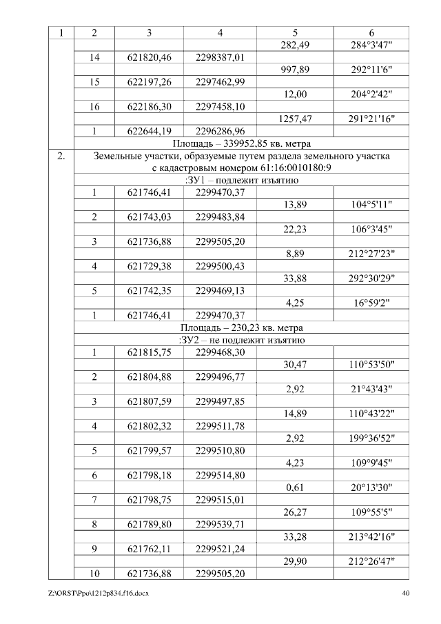
Постановление Правительства Ростовской области от 12.12.2016 № 834
"Об утверждении основной части проекта планировки и проекта межевания территории размещения автомобильной дороги общего пользования регионального значения г. Миллерово – ст. Вешенская на участке км 45 + 500 – км 47 + 700 в Кашарском районе"
Номер опубликования: 6100201612140042
Дата опубликования: 14.12.2016
Страница №40 из 41:
Увеличить