Официальное опубликование правовых актов
ОФИЦИАЛЬНОЕ ОПУБЛИКОВАНИЕ
Постановление Правительства Ростовской области от 19.10.2016 № 715
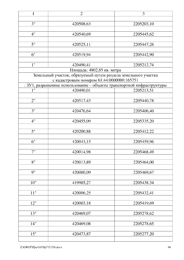
"Об утверждении проекта изменений в основную часть проекта планировки и утверждении проекта межевания территории для размещения объектов регионального значения, включая стадион на 45 тыс. зрителей, в левобережной зоне г. Ростова-на-Дону"
Номер опубликования: 6100201610260004
Дата опубликования: 26.10.2016
Страница №46 из 66:
Увеличить