Официальное опубликование правовых актов
ОФИЦИАЛЬНОЕ ОПУБЛИКОВАНИЕ
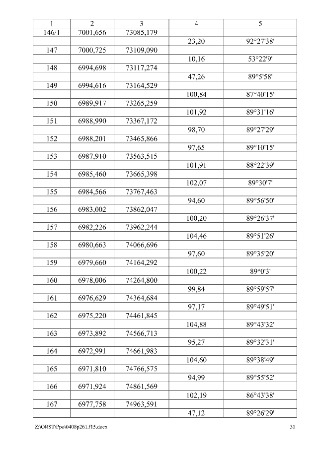
Постановление Правительства Ростовской области от 08.04.2015 № 261
"Об утверждении основной части проекта планировки территории размещения автомобильной дороги общего пользования регионального значения хут. Усьман – пос. Веселый – г. Сальск на участке км 25+334 – км 41+920 в Веселовском районе"
Номер опубликования: 6100201504140002
Дата опубликования: 14.04.2015
Страница №31 из 50:
Увеличить