Официальное опубликование правовых актов
ОФИЦИАЛЬНОЕ ОПУБЛИКОВАНИЕ
Приказ Комитета по природным ресурсам и экологии Псковской области от 17.07.2023 № 341
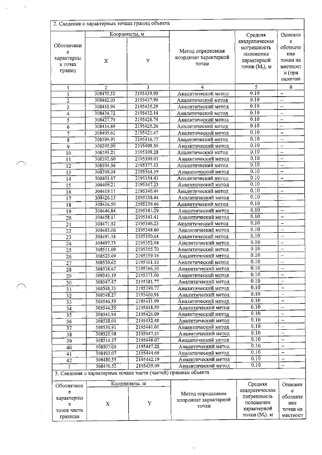
"О внесении изменений в приложение к приказу Государственного комитета Псковской области по природопользованию и охране окружающей среды от 27.10.2015 № 663 "Об утверждении Проекта зон санитарной охраны действующего водозабора ГП Псковской области "Центр детского отдыха и оздоровления" на участке недр в п. Опухлики Невельского района Псковской области"
(Зарегистрирован 19.07.2023 № 313)
Номер опубликования: 6001202307270001
Дата опубликования: 27.07.2023
Страница №3 из 5:
Увеличить