Приказ Комитета по тарифам и энергетике Псковской области от 23.11.2022 № 209-т
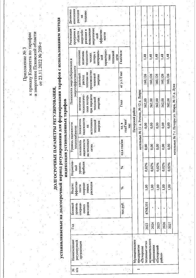
"Об установлении тарифов на тепловую энергию (мощность), поставляемую муниципальным предприятием "Печорские тепловые сети" муниципального образования "Печорский район" потребителям, на 2023-2027 годы"
"Об установлении тарифов на тепловую энергию (мощность), поставляемую муниципальным предприятием "Печорские тепловые сети" муниципального образования "Печорский район" потребителям, на 2023-2027 годы"
Номер опубликования: 6001202211280012
Дата опубликования:
28.11.2022
