Официальное опубликование правовых актов
ОФИЦИАЛЬНОЕ ОПУБЛИКОВАНИЕ
Постановление Псковского областного Собрания депутатов от 19.12.2024 № 923
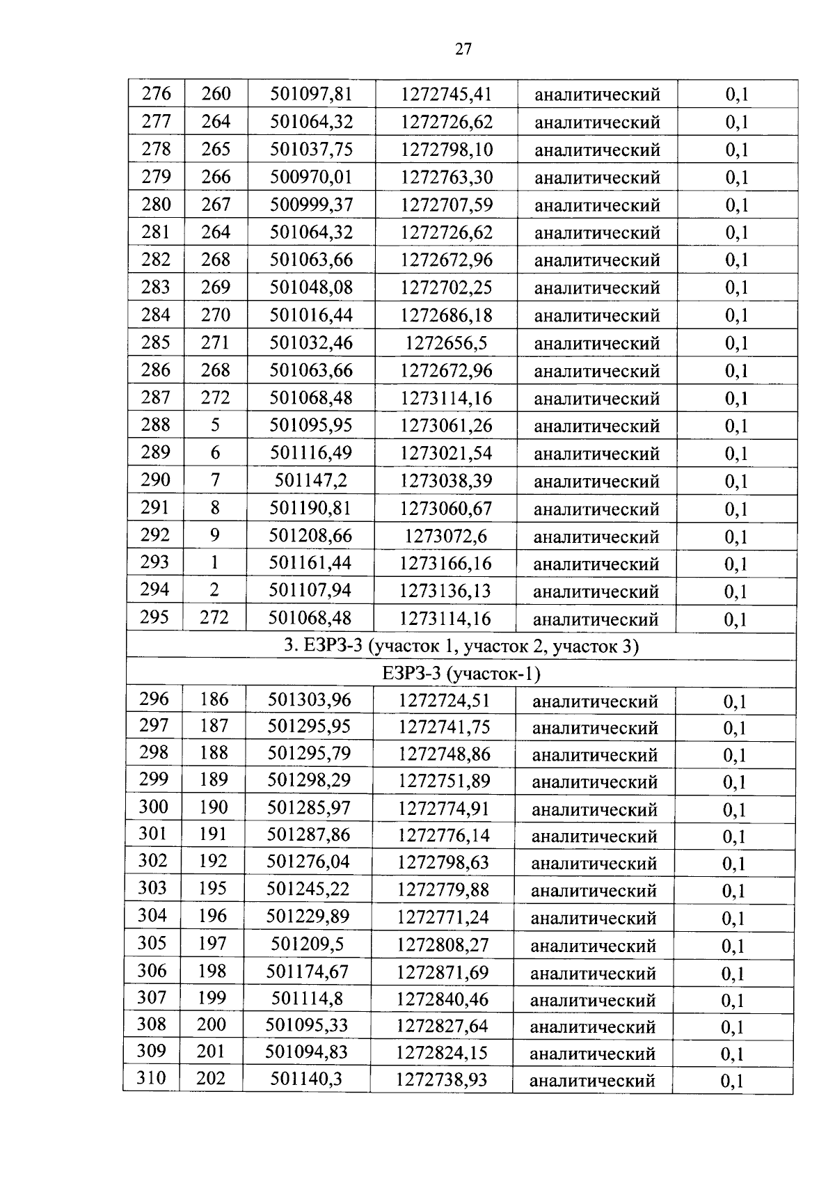
"О границах объединенной зоны охраны объектов культурного наследия федерального и регионального значения, расположенных в городе Пскове на территории, ограниченной ул. Застенной, ул. Герцена, ул. Школьной, ул. Труда, ул. Волкова, ул. Леона Поземского, и требованиях к градостроительным регламентам в границах данной зоны"
Номер опубликования: 6000202412260012
Дата опубликования: 26.12.2024
Страница №30 из 37:
Увеличить