Официальное опубликование правовых актов
ОФИЦИАЛЬНОЕ ОПУБЛИКОВАНИЕ
Постановление Псковского областного Собрания депутатов от 31.03.2016 № 1439
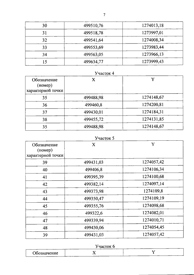
"Об утверждении границ единой зоны регулирования застройки и хозяйственной деятельности, особых режимов использования земель в границах территорий данной зоны и требований к градостроительным регламентам в границах единой зоны регулирования застройки и хозяйственной деятельности объектов культурного наследия регионального значения "Дом жилой доходный Станкевича Г.Ф.", 1904 г., г. Псков, Октябрьский пр-т, 42; "Дом-особняк Г.И.Смирнова", 1913 г., г. Псков, Октябрьский пр-т, 25а; "Дом Щербицкого", 1901 г., г. Псков, Октябрьский пр-т, 23б; "Памятник Кикоину И.К.", 1989 г., г. Псков, Октябрьский пр-т - ул. Гражданская; "Дом доходный", 2 пол. XIX в., г. Псков, ул. Гражданская, 3; "Дом жилой Ендржеевского В.А.", нач. XX в., г. Псков, ул.Металлистов, 15; "Дом жилой" нач. XX в., г. Псков, ул. Металлистов, 8; "Дом жилой", 1950 г., г. Псков, ул. Л.Толстого, 14; "Дом жилой", 1950 г., г. Псков, ул. Л.Толстого, 16"
Номер опубликования: 6000201604050007
Дата опубликования: 05.04.2016
Страница №9 из 19:
Увеличить