Официальное опубликование правовых актов
ОФИЦИАЛЬНОЕ ОПУБЛИКОВАНИЕ
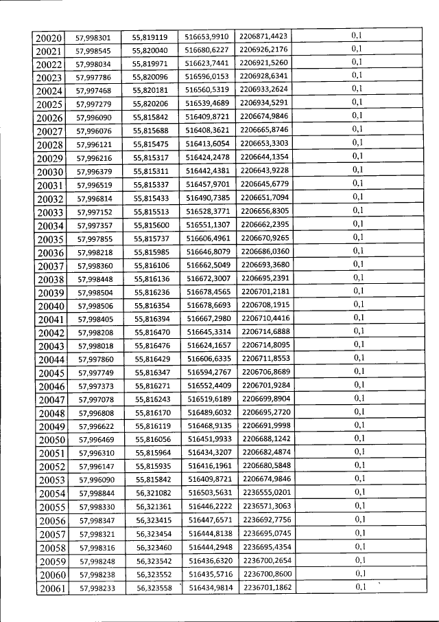
Приказ Министерства природных ресурсов, лесного хозяйства и экологии Пермского края от 14.10.2019 № СЭД-30-01-02-1374
"Об установлении границ лесопаркового зеленого пояса города Перми"
Номер опубликования: 5901201910170001
Дата опубликования: 17.10.2019
Страница №480 из 722:
Увеличить