Официальное опубликование правовых актов
ОФИЦИАЛЬНОЕ ОПУБЛИКОВАНИЕ
Постановление Правительства Пермского края от 27.09.2023 № 729-п
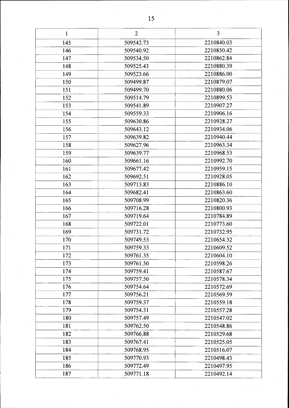
"Об утверждении границ зон охраны объекта культурного наследия регионального значения "Церковь Св. Троицы", расположенного по адресу: Пермский край, Пермский муниципальный округ, с. Нижние Муллы, ул. Советская, д. 14, а также режимов использования земель, земельных участков и требований к градостроительным регламентам в границах данных зон"
Номер опубликования: 5900202309280021
Дата опубликования: 28.09.2023
Страница №17 из 32:
Увеличить