Официальное опубликование правовых актов
ОФИЦИАЛЬНОЕ ОПУБЛИКОВАНИЕ
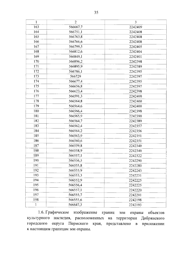
Постановление Правительства Пермского края от 26.07.2023 № 571-п
"Об утверждении границ зон охраны объектов культурного наследия регионального значения, расположенных на территории Добрянского городского округа Пермского края, а также режимов использования земель, земельных участков и требований к градостроительным регламентам в границах данных зон"
Номер опубликования: 5900202307270018
Дата опубликования: 27.07.2023
Страница №37 из 54:
Увеличить