Официальное опубликование правовых актов
ОФИЦИАЛЬНОЕ ОПУБЛИКОВАНИЕ
Постановление Правительства Пермского края от 31.05.2023 № 417-п
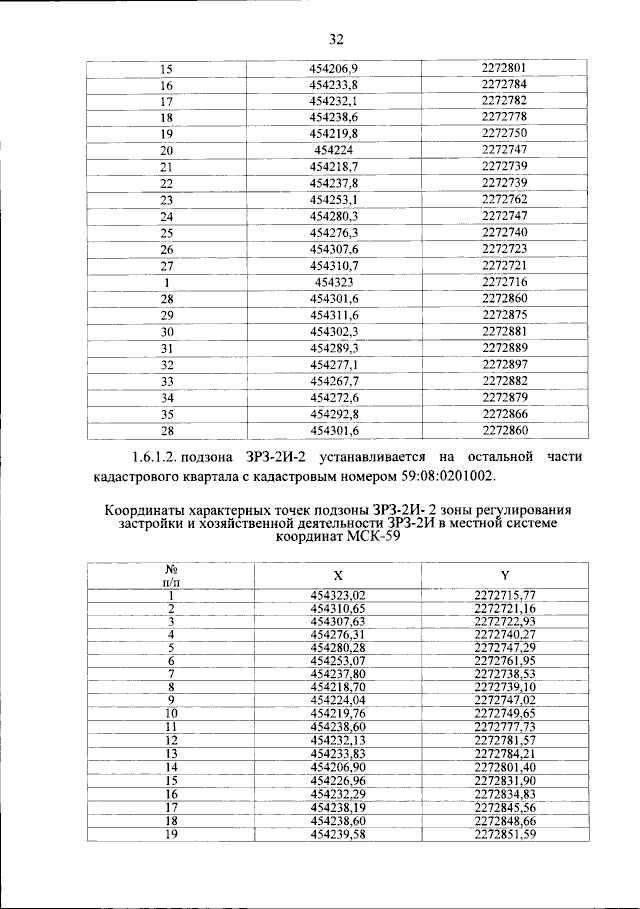
"Об утверждении границ объединенных зон охраны объектов культурного наследия федерального и регионального значения, зон охраны объектов культурного наследия федерального и регионального значения, расположенных на территории Кунгурского муниципального округа Пермского края (город Кунгур), а также режимов использования земель, земельных участков и требований к градостроительным регламентам в границах данных зон"
Номер опубликования: 5900202306020013
Дата опубликования: 02.06.2023
Страница №34 из 185:
Увеличить