Официальное опубликование правовых актов
ОФИЦИАЛЬНОЕ ОПУБЛИКОВАНИЕ
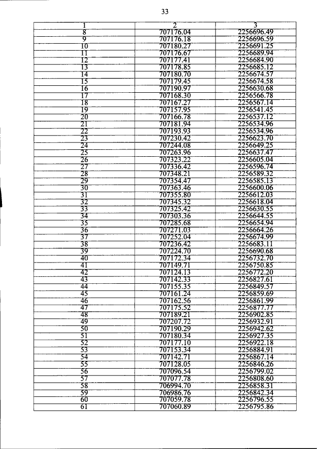
Постановление Правительства Пермского края от 04.09.2019 № 614-п
"Об утверждении границ объединенных зон охраны объектов культурного наследия федерального и регионального значения, зон охраны объектов культурного наследия федерального и регионального значения, расположенных на территории г. Соликамска, а также режимов использования земель и требований к градостроительным регламентам в границах данных зон"
Номер опубликования: 5900201909060021
Дата опубликования: 06.09.2019
Страница №35 из 124:
Увеличить