Приказ Министерства градостроительства и архитектуры Пензенской области от 21.11.2025 № 23-798
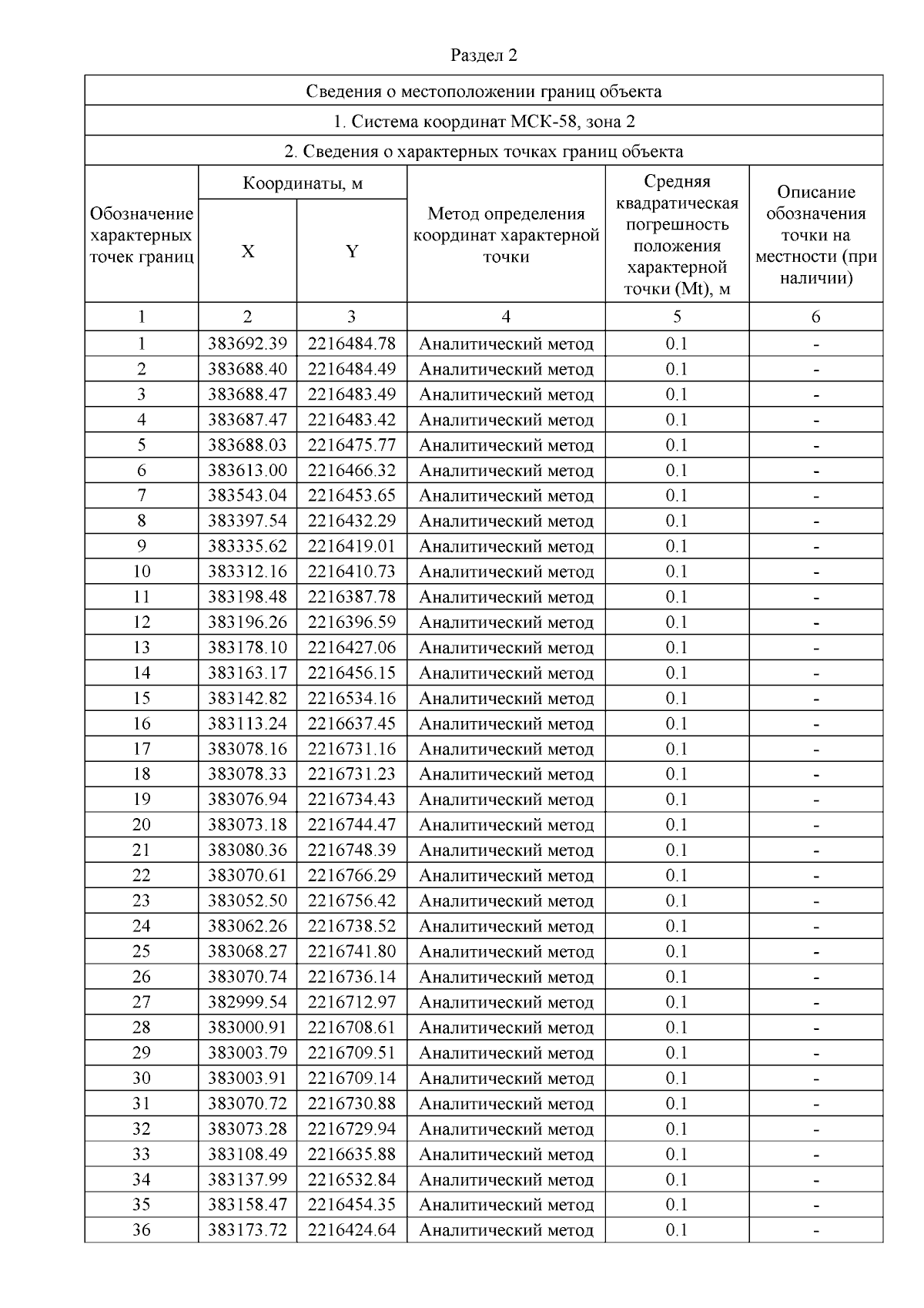
"Об утверждении границ охранной зоны существующего газопровода высокого и низкого давления, протяженностью 1010 м, расположенного по адресу: Российская Федерация, Пензенская область, район Пензенский, село Богословка, улица Молодежная, и наложении ограничений (обременений) на входящие в нее земельные участки"
(Зарегистрирован 21.11.2025 № 23-798)
"Об утверждении границ охранной зоны существующего газопровода высокого и низкого давления, протяженностью 1010 м, расположенного по адресу: Российская Федерация, Пензенская область, район Пензенский, село Богословка, улица Молодежная, и наложении ограничений (обременений) на входящие в нее земельные участки"
(Зарегистрирован 21.11.2025 № 23-798)
Номер опубликования: 5801202511250022
Дата опубликования:
25.11.2025
