Приказ Министерства градостроительства и архитектуры Пензенской области от 01.11.2024 № 23-421
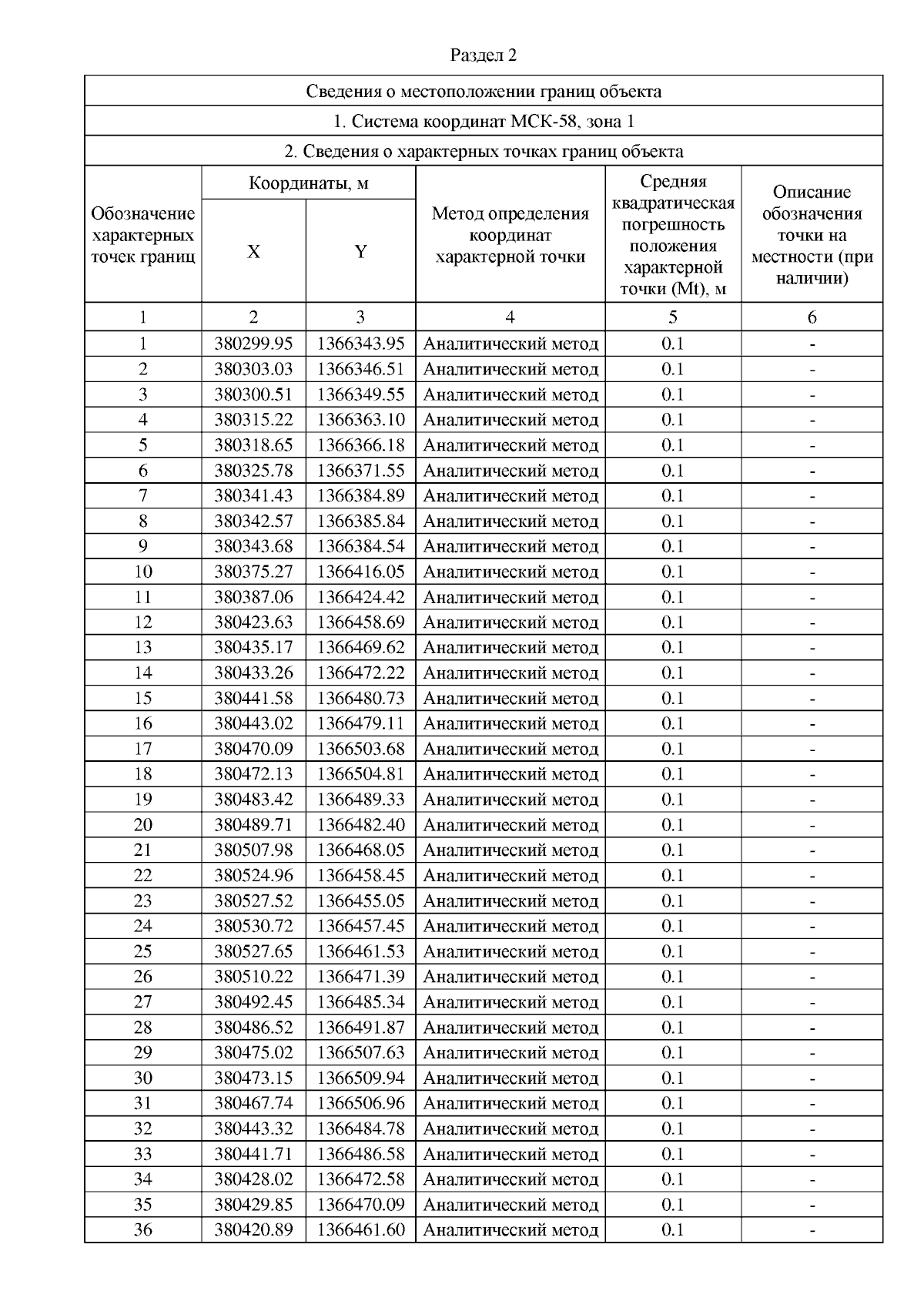
"Об утверждении границ охранной зоны существующего газопровода низкого давления, протяженностью 283 м, расположенного по адресу: Пензенская область, Каменский район, г. Каменка, от точки врезки на ул. Садовая, д.60 по ул. Садовая 58-88, и наложении ограничений (обременений) на входящие в нее земельные участки"
(Зарегистрирован 01.11.2024 № 23-421)
"Об утверждении границ охранной зоны существующего газопровода низкого давления, протяженностью 283 м, расположенного по адресу: Пензенская область, Каменский район, г. Каменка, от точки врезки на ул. Садовая, д.60 по ул. Садовая 58-88, и наложении ограничений (обременений) на входящие в нее земельные участки"
(Зарегистрирован 01.11.2024 № 23-421)
Номер опубликования: 5801202411020005
Дата опубликования:
02.11.2024
