Официальное опубликование правовых актов
ОФИЦИАЛЬНОЕ ОПУБЛИКОВАНИЕ
Приказ Министерства градостроительства и архитектуры Пензенской области от 23.10.2024 № 23-416
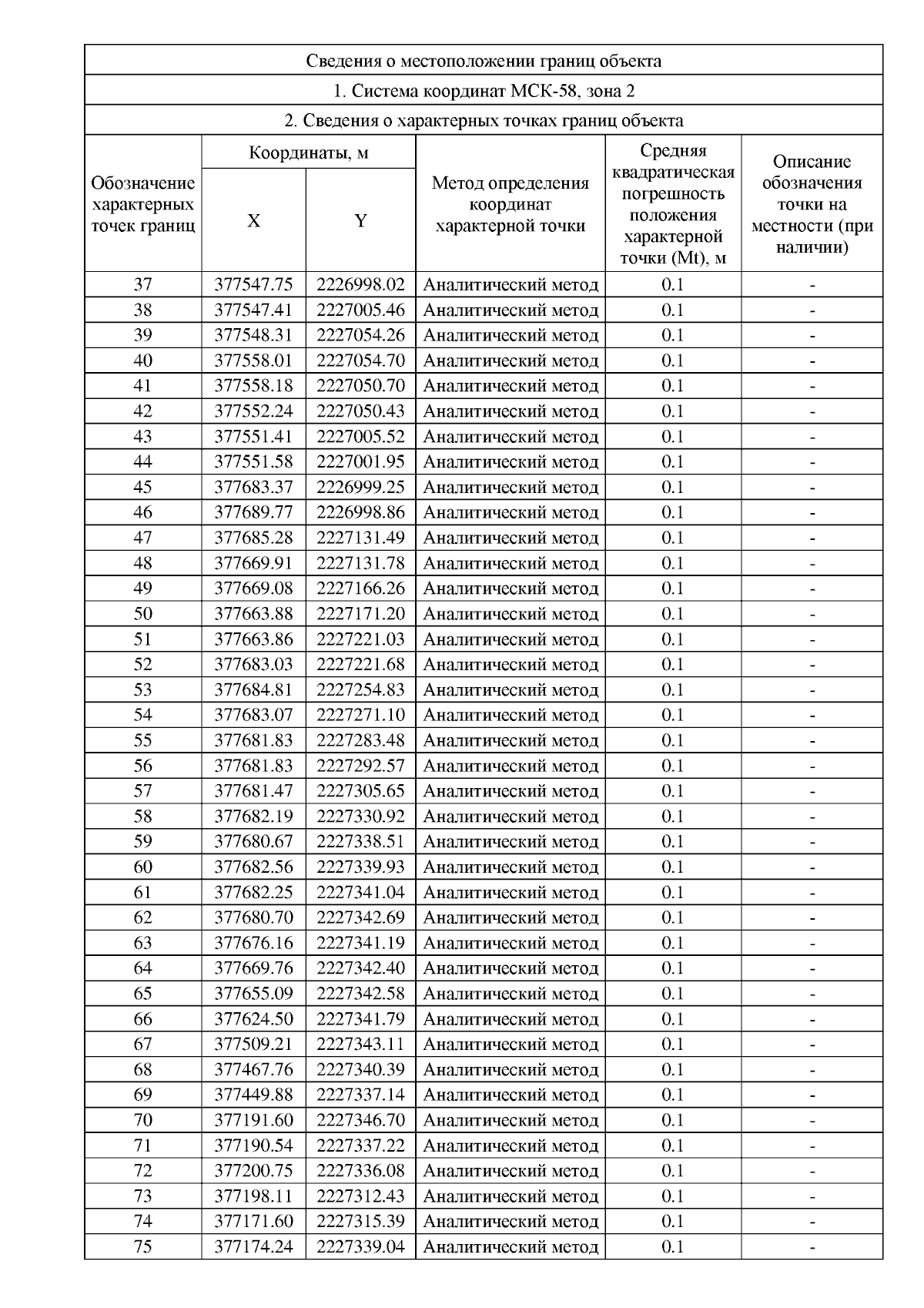
"О признании утратившим силу приказа Управления жилищно-коммунального хозяйства Пензенской области от 02.07.2013 № 1-484 "Об утверждении границ охранных зон существующего газопровода высокого давления от ГРС-1 до котельной тепличного комбината, по ул. Окружной, пр. Бурмистрова, ул. 40 лет Октября, адрес объекта: г. Пенза, ул. Тепличная, 1 д, и наложении ограничений (обременений) на входящие в них земельные участки" и об утверждении границ охранной зоны существующего газопровода высокого давления, протяженностью 5926 м, расположенного по адресу: Пензенская область, г. Пенза, ул. Тепличная, д. 1Д, и наложении ограничений (обременений) на входящие в нее земельные участки"
(Зарегистрирован 23.10.2024 № 23-416)
Номер опубликования: 5801202410240030
Дата опубликования: 24.10.2024
Страница №6 из 10:
Увеличить