Официальное опубликование правовых актов
ОФИЦИАЛЬНОЕ ОПУБЛИКОВАНИЕ
Приказ Министерства по охране памятников истории и культуры Пензенской области от 18.05.2023 № 30-29
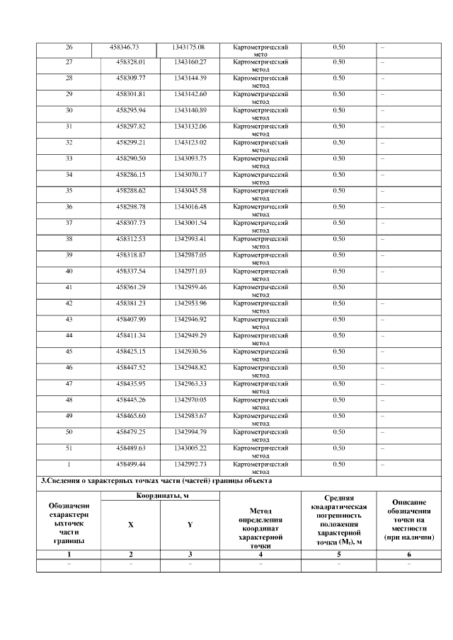
"О внесении изменения в графическое описание местоположения границ защитной зоны объекта культурного наследия регионального значения "Здание (ныне – вспомогательная школа), где 14 (27) декабря 1917 года провозглашено установление Советской власти в Наровчате и Наровчатском уезде" по адресу: Пензенская область, Наровчатский район, с. Наровчат, ул. Советская, 22, утвержденное приказом Комитета Пензенской области по охране памятников истории и культуры от 12.11.2018 № 106-ОД"
(Зарегистрирован 18.05.2023 № 30-29)
Номер опубликования: 5801202305180018
Дата опубликования: 18.05.2023
Страница №5 из 9:
Увеличить