Официальное опубликование правовых актов
ОФИЦИАЛЬНОЕ ОПУБЛИКОВАНИЕ
Приказ Министерства градостроительства и архитектуры Пензенской области от 27.04.2023 № 23-95
"О внесении изменений в Правила землепользования и застройки муниципального образования Бессоновский сельсовет Бессоновского района Пензенской области"
(Зарегистрирован 27.04.2023 № 23-95)
Номер опубликования: 5801202305030003
Дата опубликования: 03.05.2023
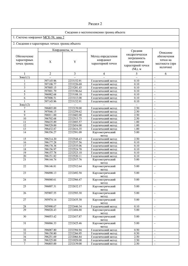
Страница №381 из 489:
Увеличить