Официальное опубликование правовых актов
ОФИЦИАЛЬНОЕ ОПУБЛИКОВАНИЕ
Приказ Департамента градостроительства и архитектуры Пензенской области от 24.05.2019 № 50/ОД
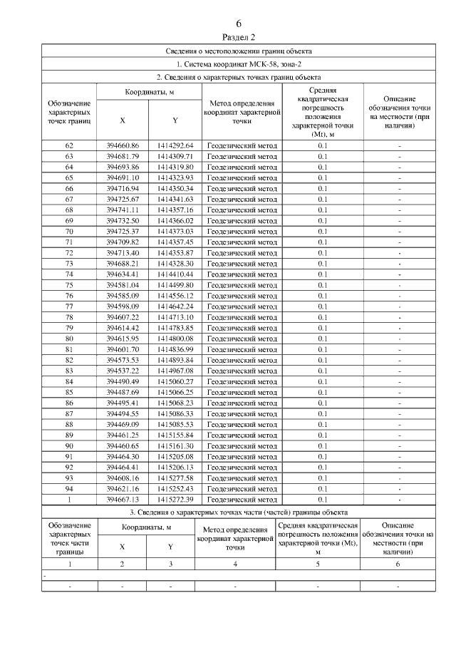
"Об утверждении границ охранной зоны существующего газопровода протяженностью 1678 м, расположенного по адресу: примерно в 40 м по направлению на юг от ориентира жилой дом, расположенного за пределами участка, адрес ориентира: обл. Пензенская, р-н Мокшанский, с. Рамзай, ул. Советская, д. 21, и наложению ограничений (обременений) на входящие в нее земельные участки"
Номер опубликования: 5801201905270004
Дата опубликования: 27.05.2019
Страница №6 из 11:
Увеличить