Официальное опубликование правовых актов
ОФИЦИАЛЬНОЕ ОПУБЛИКОВАНИЕ
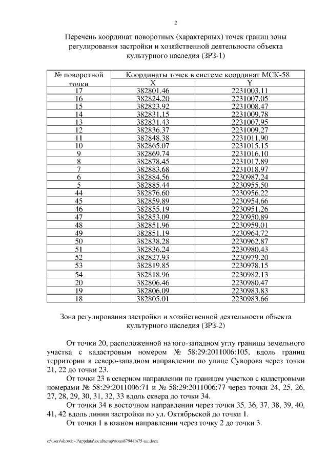
Постановление Правительства Пензенской области от 12.02.2019 № 75-пП
"Об установлении зон охраны объекта культурного наследия регионального значения "Здание бывшего технического железнодорожного училища (ныне - техникум железнодорожного транспорта), одного из старейших учебных заведений отрасли, где учился П.И. Паршин - впоследствии кандидат в члены ЦК КПСС, нарком минометного вооружения СССР, министр машиностроения и приборостроения СССР, депутат Верховного Совета СССР, Герой Социалистического Труда, лауреат Государственной премии I степени" (Пензенская область, г. Пенза, ул. Володарского, 98/5) и утверждении требований к градостроительным регламентам в границах территории данных зон"
Номер опубликования: 5800201902130006
Дата опубликования: 13.02.2019
Страница №4 из 11:
Увеличить