Официальное опубликование правовых актов
ОФИЦИАЛЬНОЕ ОПУБЛИКОВАНИЕ
Постановление Правительства Орловской области от 25.12.2025 № 865
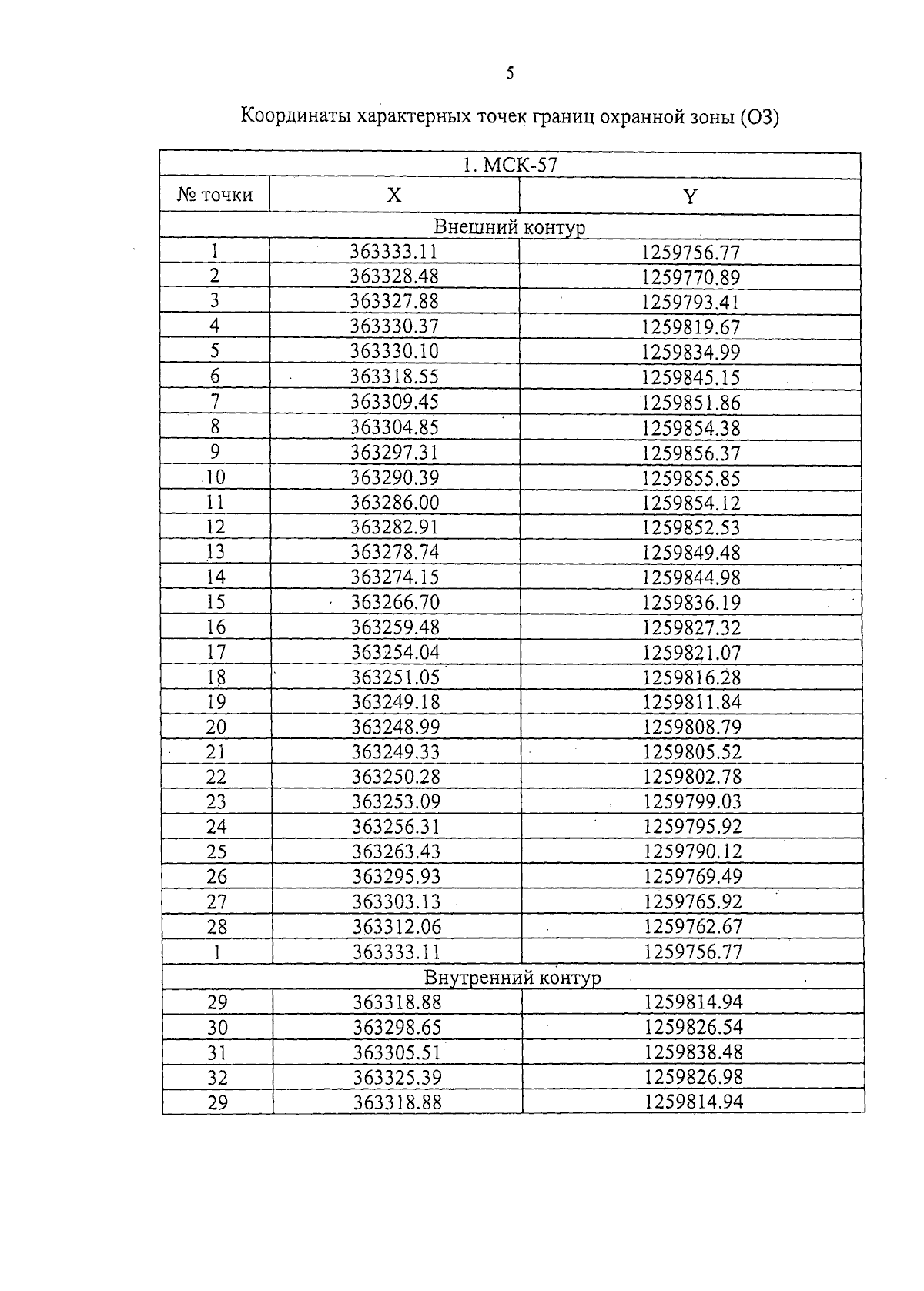
"Об установлении зон охраны объекта культурного наследия регионального историко-культурного значения "Братская могила воинов, погибших в 1943 г.", 1943 г., расположенного по адресу: Орловская область, Урицкий район, д. Юшино (фактический адрес: Орловская область, Урицкий район, Архангельское сельское поселение, п. Совхозный)"
Номер опубликования: 5700202512260009
Дата опубликования: 26.12.2025
Страница №7 из 9:
Увеличить