Официальное опубликование правовых актов
ОФИЦИАЛЬНОЕ ОПУБЛИКОВАНИЕ
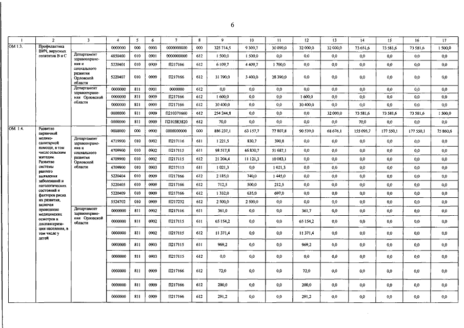
Постановление Правительства Орловской области от 14.08.2017 № 341
"О внесении изменения в постановление Правительства Орловской области от 30 апреля 2013 года № 153 "Об утверждении государственной программы Орловской области "Развитие отрасли здравоохранения в Орловской области"
Номер опубликования: 5700201708150004
Дата опубликования: 15.08.2017
Страница №111 из 164:
Увеличить