Официальное опубликование правовых актов
ОФИЦИАЛЬНОЕ ОПУБЛИКОВАНИЕ
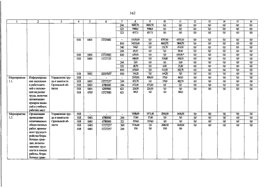
Постановление Правительства Орловской области от 25.12.2015 № 564
"О внесении изменений в постановление Правительства Орловской области от 8 октября 2012 года № 352 "Об утверждении государственной программы Орловской области "Содействие занятости населения Орловской области до 2020 года"
Номер опубликования: 5700201601040001
Дата опубликования: 04.01.2016
Страница №164 из 202:
Увеличить