Официальное опубликование правовых актов
ОФИЦИАЛЬНОЕ ОПУБЛИКОВАНИЕ
Постановление Правительства Орловской области от 16.12.2015 № 546
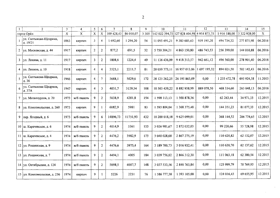
"О внесении изменений в постановление Правительства Орловской области от 10 апреля 2015 года № 160 "Об утверждении краткосрочного плана реализации областной адресной программы "Капитальный ремонт общего имущества в многоквартирных домах на территории Орловской области" в 2015 году"
Номер опубликования: 5700201512210004
Дата опубликования: 21.12.2015
Страница №9 из 16:
Увеличить