Постановление Правительства Орловской области от 16.12.2015 № 546
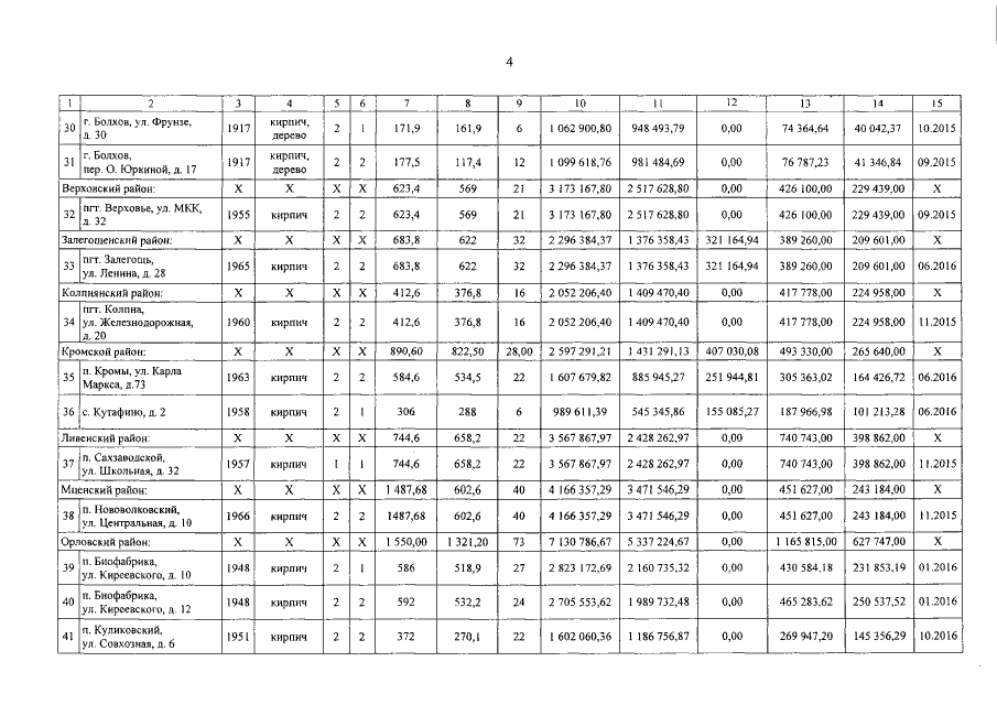
"О внесении изменений в постановление Правительства Орловской области от 10 апреля 2015 года № 160 "Об утверждении краткосрочного плана реализации областной адресной программы "Капитальный ремонт общего имущества в многоквартирных домах на территории Орловской области" в 2015 году"
"О внесении изменений в постановление Правительства Орловской области от 10 апреля 2015 года № 160 "Об утверждении краткосрочного плана реализации областной адресной программы "Капитальный ремонт общего имущества в многоквартирных домах на территории Орловской области" в 2015 году"
Номер опубликования: 5700201512210004
Дата опубликования:
21.12.2015
