Официальное опубликование правовых актов
ОФИЦИАЛЬНОЕ ОПУБЛИКОВАНИЕ
Распоряжение Министерства архитектуры и пространственно-градостроительного развития Оренбургской области от 30.07.2024 № 16-р
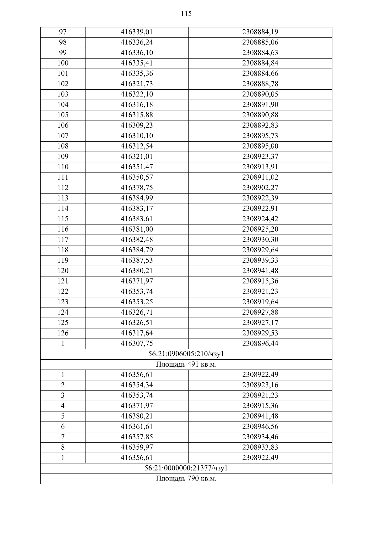
"Об утверждении проекта планировки территории и проекта межевания территории для размещения линейного объекта: "Подключение газовых скважин залежей пластов А1/1-А4/1 Оренбургского НГКМ"
(Зарегистрирован 30.07.2024 № 0072/2024/02)
Номер опубликования: 5601202408010001
Дата опубликования: 01.08.2024
Страница №115 из 219:
Увеличить