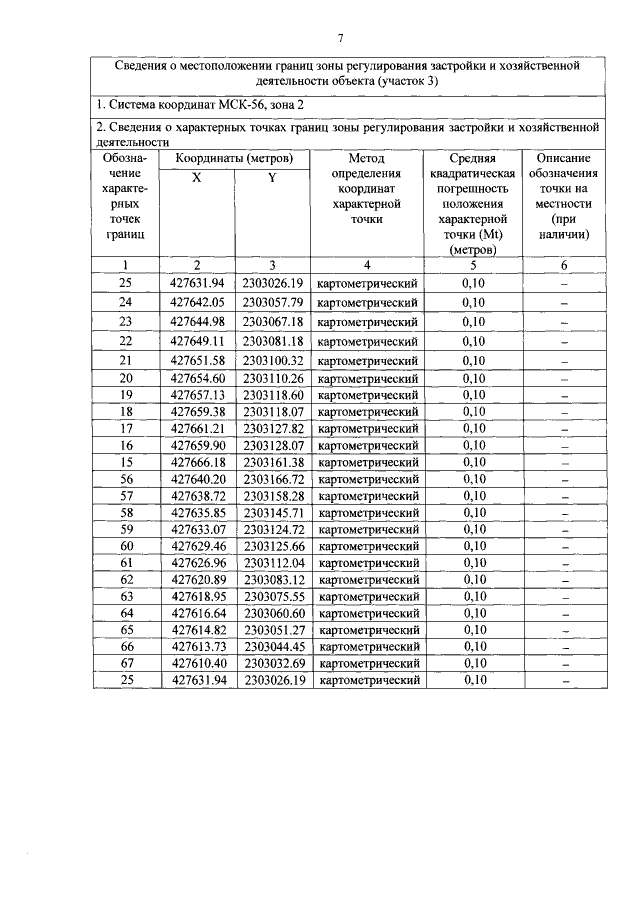
Постановление Правительства Оренбургской области от 14.02.2023 № 145-пп
"Об установлении зон охраны, утверждении требований к градостроительным регламентам в границах территорий зон охраны объекта культурного наследия (памятника истории и культуры) народов Российской Федерации регионального значения "Доходный дом (Бани)"
"Об установлении зон охраны, утверждении требований к градостроительным регламентам в границах территорий зон охраны объекта культурного наследия (памятника истории и культуры) народов Российской Федерации регионального значения "Доходный дом (Бани)"
Номер опубликования: 5600202302170008
Дата опубликования:
17.02.2023
