Официальное опубликование правовых актов
ОФИЦИАЛЬНОЕ ОПУБЛИКОВАНИЕ
Постановление Правительства Оренбургской области от 14.02.2023 № 145-пп
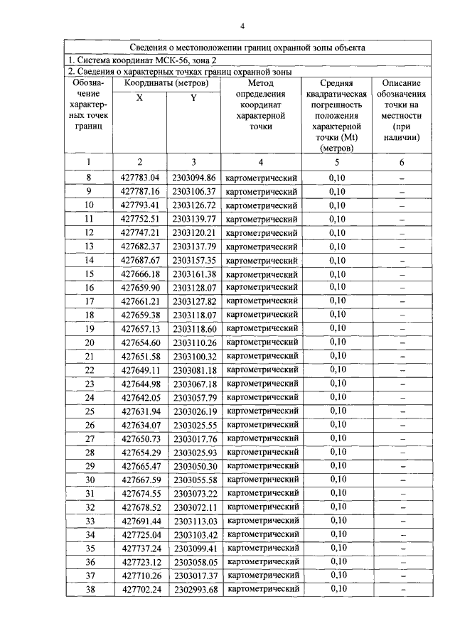
"Об установлении зон охраны, утверждении требований к градостроительным регламентам в границах территорий зон охраны объекта культурного наследия (памятника истории и культуры) народов Российской Федерации регионального значения "Доходный дом (Бани)"
Номер опубликования: 5600202302170008
Дата опубликования: 17.02.2023
Страница №4 из 15:
Увеличить