Официальное опубликование правовых актов
ОФИЦИАЛЬНОЕ ОПУБЛИКОВАНИЕ
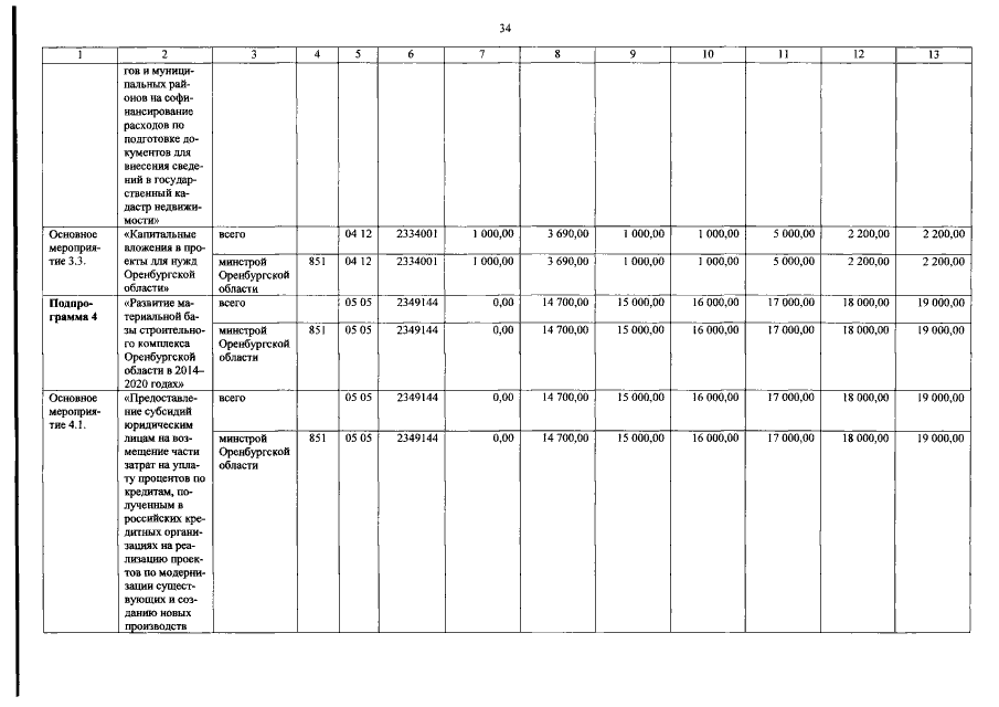
Постановление Правительства Оренбургской области от 14.09.2015 № 706-пп
"О внесении изменений в постановление Правительства Оренбургской области от 30.08.2013 № 737-пп"
Номер опубликования: 5600201509170002
Дата опубликования: 17.09.2015
Страница №34 из 50:
Увеличить