Официальное опубликование правовых актов
ОФИЦИАЛЬНОЕ ОПУБЛИКОВАНИЕ
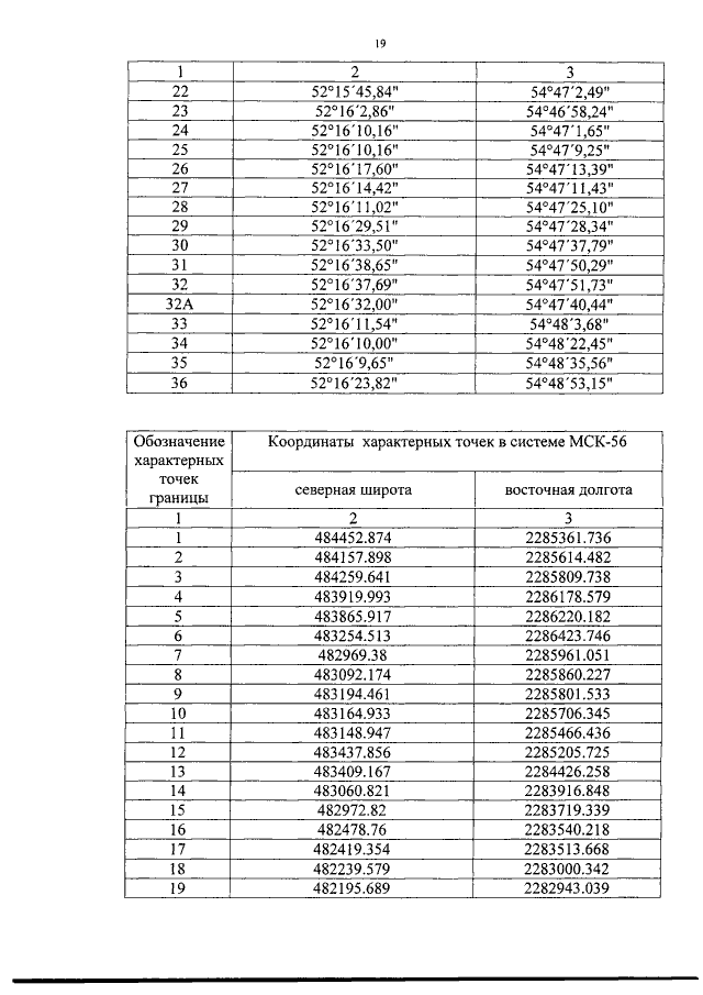
Постановление Правительства Оренбургской области от 06.04.2015 № 230-п
"Об утверждении границ участков 5, 6, режимов использования земель в утвержденных границах территории объекта культурного наследия (памятника истории и культуры) федерального значения "Остатки древнего горно-металлургического производства "Каргалинские медные рудники" III–II тыс. до н. э., XVIII–XX вв. н. э."
Номер опубликования: 5600201504100007
Дата опубликования: 10.04.2015
Страница №19 из 23:
Увеличить