Официальное опубликование правовых актов
ОФИЦИАЛЬНОЕ ОПУБЛИКОВАНИЕ
Приказ Министерства строительства Омской области от 14.02.2024 № 6-п
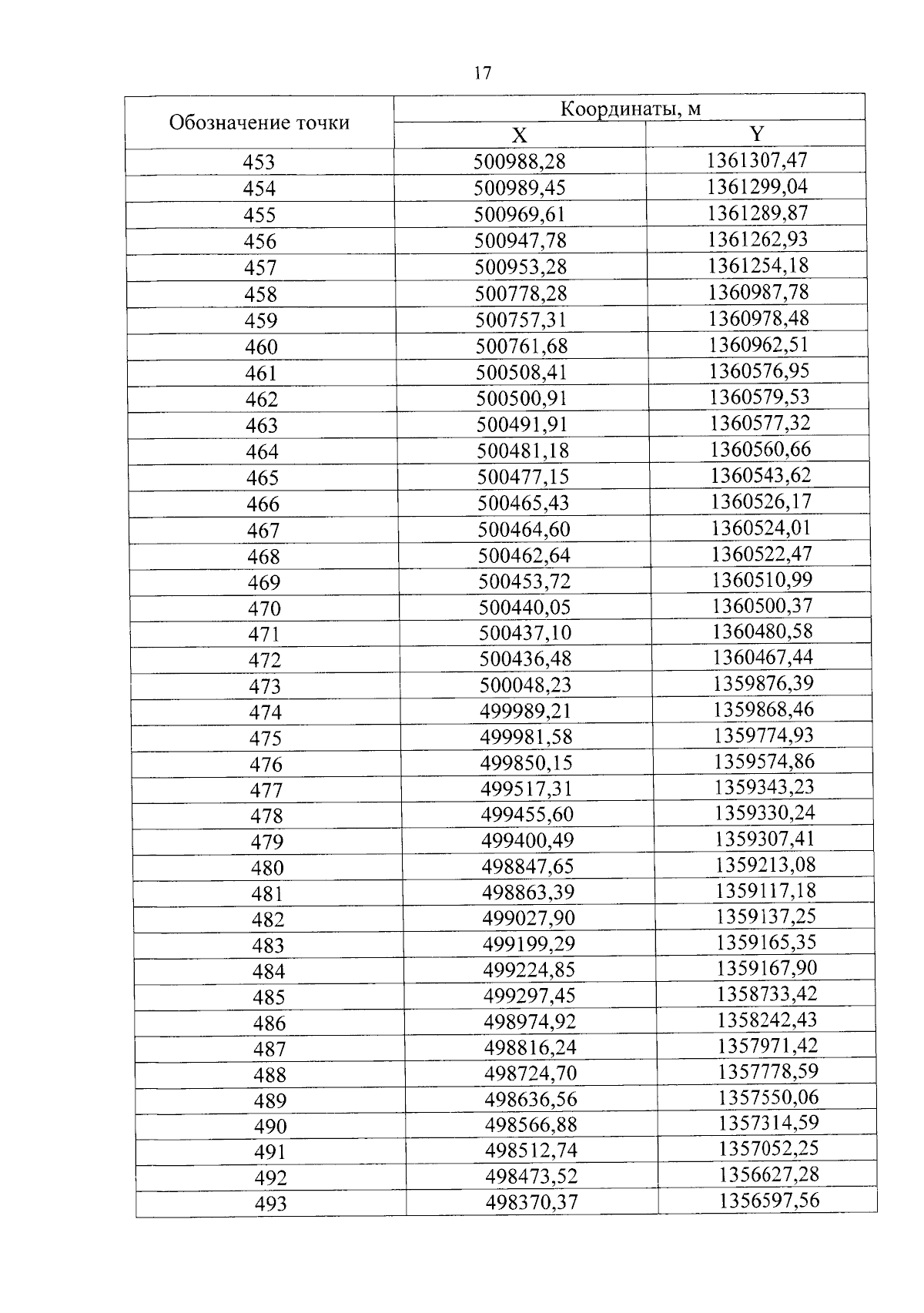
"Об утверждении проекта планировки, проекта межевания территории линейного объекта регионального значения "Строительство автомобильной дороги "Северный обход г. Омска"
(Зарегистрирован 14.02.2024 № 2611)
Номер опубликования: 5501202402150004
Дата опубликования: 15.02.2024
Страница №126 из 513:
Увеличить